填报志愿参考,2022年广东高考录取分数线,及2021年物理类本科投档线(广东省物理类分数线)
广东省2022年普通高校招生各批次录取最低分数线如下(附2021年录取分数线):

(1)本科普通类(历史):总分437分(2021年448分),对比去年下降11分。
本科普通类(物理):总分445分(2021年432分),对比去年上涨13分。
(2)特殊类型控制线普通类(历史):总分532分(2021年548分),对比去年下降16分。
特殊类型控制线普通类(物理):总分538分(2021年539分),对比去年下降1分。
(3)地方专项计划普通类(历史):总分502分(2021年518分),对比去年下降16分。
地方专项计划普通类(物理):总分508分(2021年509分),对比去年下降1分。
(4)专科普通类(历史):总分180分(2021年160分),对比去年上涨20分。
专科普通类(物理):总分180分(2021年160分),对比去年上涨20分。




分数线未出前,大家普遍反映今年的新高考全国1卷试题比较灵活,特别是语文的作文题目,还有数学这一科目不单题目灵活,而且运算大,很多学生都不适应,并且预测今年录取分数线应该会多少有所下降,可等2022年6月24日下午分数线出来后,大家都惊呆了,分数线对比去年除了历史类有所下降,物理类普遍上涨,这说明一个原因就是某些科目变难,但某些科目变简单了,这里有个对冲,还一个原因就是这个难只是对某些层次的学生,特别是处于中下层次的学生而言比较难,但对于基础扎实,各方面能力突出的学生而言,就属于正常难度范围了,这也导致整体拔高了平均分,再加上今年全国考生人数达到1193万,创历史新高,这些综合因素合在一起也就造成了今年的分数线整体基本扯平去年的分数线,以后我们备考复习时也应多加留意这些变化。
为了方便大家可以通过对比往年数据,进而更好地填报志愿,特别整理出了2021年广东省本科普通类(物理)的投档情况,其他类别及批次的投档情况请查看已发布文章。
下列投档情况表的顺序如下:1北京,2天津,3河北,4山西,5内蒙古,6辽宁,7吉林,8黑龙江,9上海,10江苏,11浙江,12安徽,13福建,14江西,15山东,16河南,17湖北,18湖南,19广东,20广西,21海南,22重庆,23四川,24贵州,25云南,26西藏,27陕西,28甘肃,29青海,30宁夏,31新疆。此外,可与2022年全国高校3013所各省名单进行比对,若名单里的高校去年没有人投档,则今年也可以考虑下,对其进行投档有可能会增加录取成功率。
(1)北京市高校广东物理类本科投档线

(2)天津市高校在广东物理类本科投档线

(3)河北省高校在广东物理类本科投档线

(4)山西省高校在广东物理类本科投档线

(5)内蒙古自治区高校在广东物理类本科投档线

(6)辽宁省高校在广东物理类本科投档线

(7)吉林省高校在广东物理类本科投档线

(8)黑龙江省高校在广东物理类本科投档线

(9)上海市高校在广东物理类本科投档线

(10)江苏省高校在广东物理类本科投档线

(11)浙江省高校在广东物理类本科投档线

(12)安徽省高校在广东物理类本科投档线

(13)福建省高校在广东物理类本科投档线

(14)江西省高校在广东物理类本科投档线

(15)山东省高校在广东物理类本科投档线

(16)河南省高校在广东物理类本科投档线

(17)湖北省高校在广东物理类本科投档线

(18)湖南省高校在广东物理类本科投档线

(19)广东省高校在广东物理类本科投档线01

(19)广东省高校在广东物理类本科投档线02

(20)广西壮族自治区高校在广东物理类本科投档线

(21)海南省高校在广东物理类本科投档线

(22)重庆市高校在广东物理类本科投档线

(23)四川省高校在广东物理类本科投档线

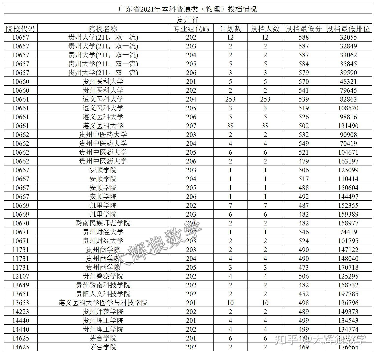
(24)贵州省高校在广东物理类本科投档线

(25)云南省高校在广东物理类本科投档线

(26)西藏自治区高校在广东物理类本科投档线

(27)陕西省高校在广东物理类本科投档线

(28)甘肃省高校在广东物理类本科投档线

(29)青海省高校在广东物理类本科投档线

(30)宁夏回族自治区高校在广东物理类本科投档线

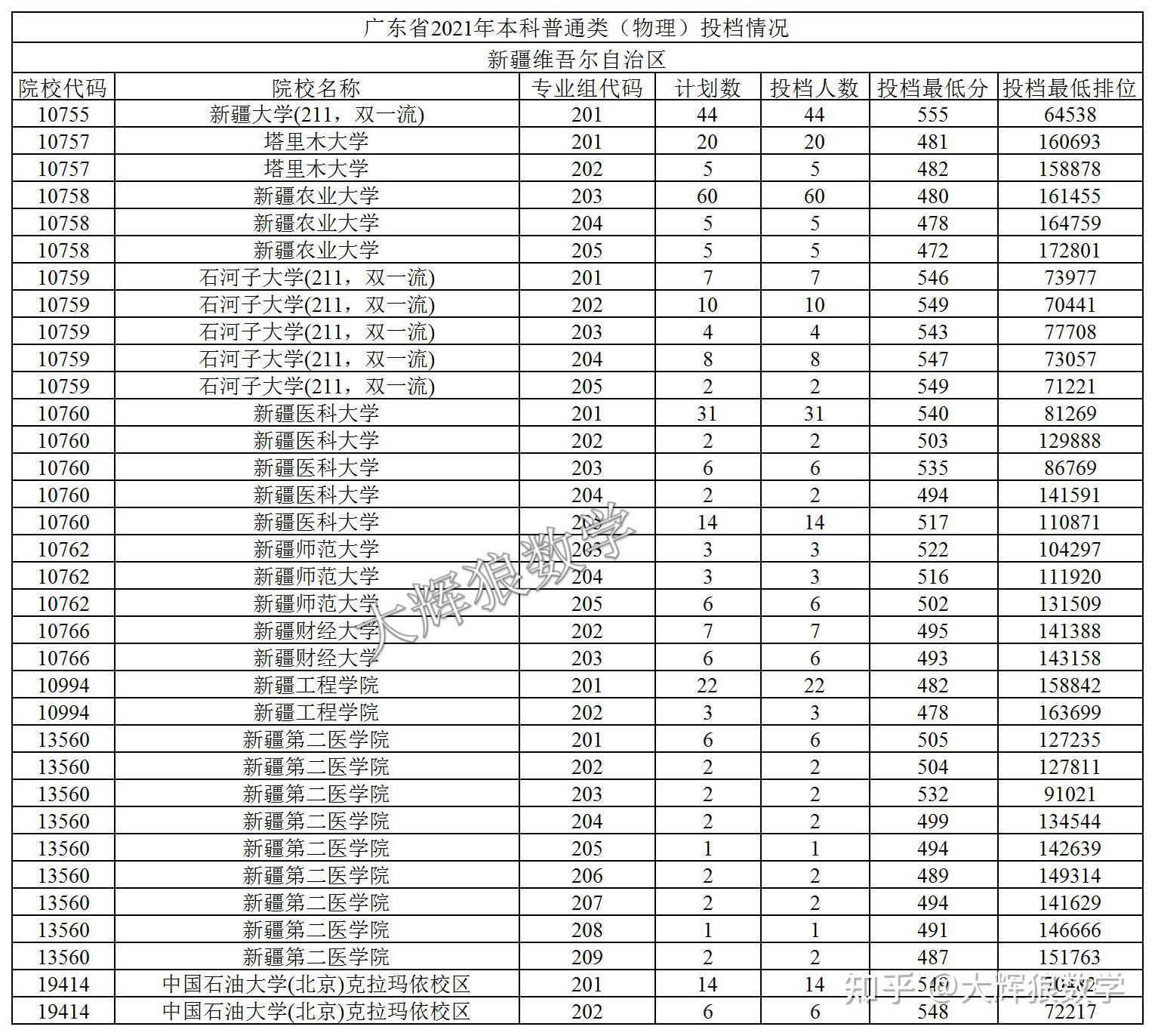
(31)新疆维吾尔自治区高校在广东物理类本科投档线

高考填报志愿重要参考,2022年全国高等学校3013所名单,及985,211,双一流大学名单